Saturday Morning for Saturday 31 October 2009
Guest details for Saturday Morning 31 October 2009
8:15 Daniel Knorr
Daniel Knorr is a Romanian artist based in Berlin. His work is concerned with public space, institutional structures and the nation state. He is currently visiting Auckland and working with prison inmates; some of their work is exhibited in the show, Block, at Artspace Gallery (3 to 28 November).
8:35 Tino Tabak
Tino Tabak was a professional cyclist in the 1970s. He tells his story to Jonathan Kennett in Tino Tabak: Dreams and Demons of a New Zealand Cycling Legend (Kennett Brothers, ISBN: 978-0-9582673-5-9).
9:05 John Perriam
John Perriam and his wife Heather are the owners of historic high-country sheep station Bendigo Station in Central Otago, moving there in the 1970s when the Clyde Dam project forced them off their family farm. John tells his story in Dust to Gold: the Inspiring Story of Bendigo Station, Home to Shrek (Random House, ISBN: 978-1-86979-280-0), with photographs by Stephen Jaquiery.
9:45 Maths with Gaven Martin
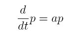
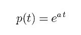
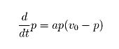
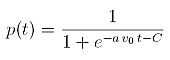
Gaven Martin is Distinguished Professor in Pure Mathematics at Massey University and the founding director of the NZ Institute for Advanced Study, which aspires to be one of the world's leading centres for theoretical research and intellectual inquiry. Gaven will discuss differential equations, and speak to the following:
1.

2.

3.

4.

10:05 Ruth Reichl
American food writer Ruth Reichl joined Gourmet magazine as editor-in-chief in 1999, after writing restaurant criticism for the New York Times and Los Angeles Times. (Gourmet magazine was closed down unexpectedly on 5 October by publisher Condé Nast.) She has added to her three existing books of memoirs (Tender at the Bone, Comfort Me with Apples, Garlic and Sapphire) with a new collection, Not Becoming My Mother (Allen & Unwin, ISBN: 978-1741757538), and is the editor of cookbook Gourmet Today: More than 1000 All-New Recipes for the Contemporary Kitchen (Houghton Mifflin Harcourt, ISBN: 978-0618610181).
10:40 Kirk Torrance
Stage and screen actor Kirk Torrance is currently best known for his role as Wayne Judd in the TV series Outrageous Fortune. He made his playwriting debut in 2003 with Strata; his new play, Flintlock Musket, opens at the Aotea Centre on 17 November (to 28 November).
11:10 Sebastian Sylwan
Sebastian Sylwan is Head of Research and Development at Weta Digital. He worked as Senior Film Industry Manager for software company Autodesk, and was involved with the company's first steps into stereoscopic 3D, and was director of technology at VFX facility Digital Domain. He is a keynote speaker at AnimfxNZ 09, the fourth annual animation, games and visual effects conference in Wellington (5-7 November).
11:45 Matt Elliott
Auckland writer Matt Elliott is a stand-up comedian who has worked in radio, television and film. His new book, Billy T: the Life and Times of Billy T James (HarperCollins, ISBN: 978-1-86950-705-3), is the first biography to tell the inside story of one of New Zealand's funniest men.
Music played on the programme
Kraftwerk: Tour de France
From the 2005 live album: Minimum-Maximum
(KlingKlang/EMI)
Played at around 8:30
Zoe Lewis: Sheep
From the 1998 album: Sheep
(and the Putuyamo compilation: Folk Playground)
(Dog Called Pants Productions)
Played at around 9:05
Rachel Harrington: Ode to Billie Joe
From the 2008 album: City of Refuge
(Skinny)
Played at around 9:40
Miranda Lambert: Gunpowder and Lead
From her 2007 album: Crazy Ex-Girlfriend
(Sony)
Played at around 10:35
Jubilation: Nobody's Fault But Mine
From the 2009 album: Shout and Never Get Tired
(Ode)
Played at around 11:05
Billy T James: Let's Make the World a Better Place
From the compilation album: The Best of Billy T James
(Viscount)
Played at around 11:35
Studio operators
Wellington engineer: Carol Jones
Auckland engineer: Ian Gordon
Christchurch engineer: Hamish Doake
Queenstown engineer: Steve Wilde